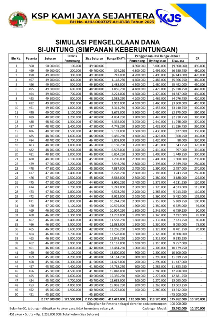
SI-UNTUNG (Simpanan Keberuntungan)
Adalah simpanan berjangka berkelompok (komunikasi) yang penarikannya dikemas dengan system arisan. Jumlah peserta perkelompok adalah 500 akun dengan setoran Rp. 100.000/akun/bulan, maksimal 49 bulan. Arisan dilakukan setiap bulan da keluar satu pemenang. Pemenang mendapatkan uang total 5 juta teriri atas penarikan saldo simpanan ditambah bagian bunga kelompok dan selanjutnya pemenang tidak bayar lagi (keliar dari kelompok). Sisa akun yang tidak pernah beruntung akan menerima uang 5 juta di bulan ke 50 plus dilakukan acara family gathering dan pengundian hadiah dorprize denga hadia utama seperda.
